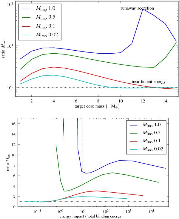
Fig. 9

Ratio of post-impact envelope mass to the NC envelope mass after the impact at tcomp (same core mass). All computed impactors and target sizes are shown. Top: abscissa shows the target core mass. Both large impactors provide sufficient energy to overcome the envelope binding energy for all targets. For the larger cores, runaway gas accretion is triggered. The smaller impacts do not have enough energy to significantly affect the large targets. Bottom: abscissa shows impact energy as fraction of the total binding energy. Left of the vertical dashed line, the impact shockwave is not capable of ejecting the envelope directly (assuming that 10% of the impact energy directly heats the envelope).
Current usage metrics show cumulative count of Article Views (full-text article views including HTML views, PDF and ePub downloads, according to the available data) and Abstracts Views on Vision4Press platform.
Data correspond to usage on the plateform after 2015. The current usage metrics is available 48-96 hours after online publication and is updated daily on week days.
Initial download of the metrics may take a while.