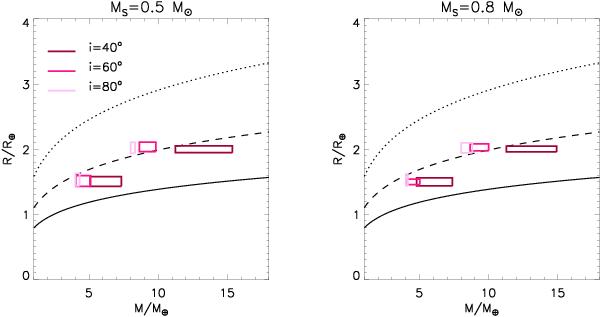
Fig. 8

Constraining the bulk composition. Boxes indicate the 95% confidence level on the retrieval of both the radius and the mass for two synchronous planets (R = 1.5 R⊕, Msini = 4 M⊕, and R = 2 R⊕, Msini = 8 M⊕), at 0.02 AU of a 0.5 and a 0.8 M⊙ star, observed with the JWST for 3 different inclinations (2 orbits for computation). The solid, dashed and dotted lines correspond respectively to a pure iron, pure rock, and pure-ice planet according to Fortney et al. (2007).
Current usage metrics show cumulative count of Article Views (full-text article views including HTML views, PDF and ePub downloads, according to the available data) and Abstracts Views on Vision4Press platform.
Data correspond to usage on the plateform after 2015. The current usage metrics is available 48-96 hours after online publication and is updated daily on week days.
Initial download of the metrics may take a while.