Free Access

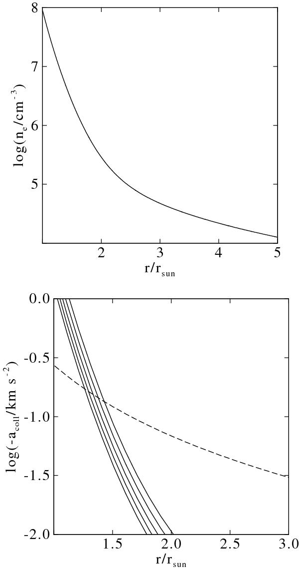
Fig. 9

thumbnail

Top: electron density assumed for the background corona, adapted from Quémerais & Lamy (2002). Bottom: collisional deceleration of the jet particles for velocities of 400 to 600 km s-1 in steps of 50 km s-1 (solid, from right to left) compared to the gravitational accelaration (dashed).

This figure is made of several images, please see below:

Current usage metrics show cumulative count of Article Views (full-text article views including HTML views, PDF and ePub downloads, according to the available data) and Abstracts Views on Vision4Press platform.

Data correspond to usage on the plateform after 2015. The current usage metrics is available 48-96 hours after online publication and is updated daily on week days.

Initial download of the metrics may take a while.