Free Access
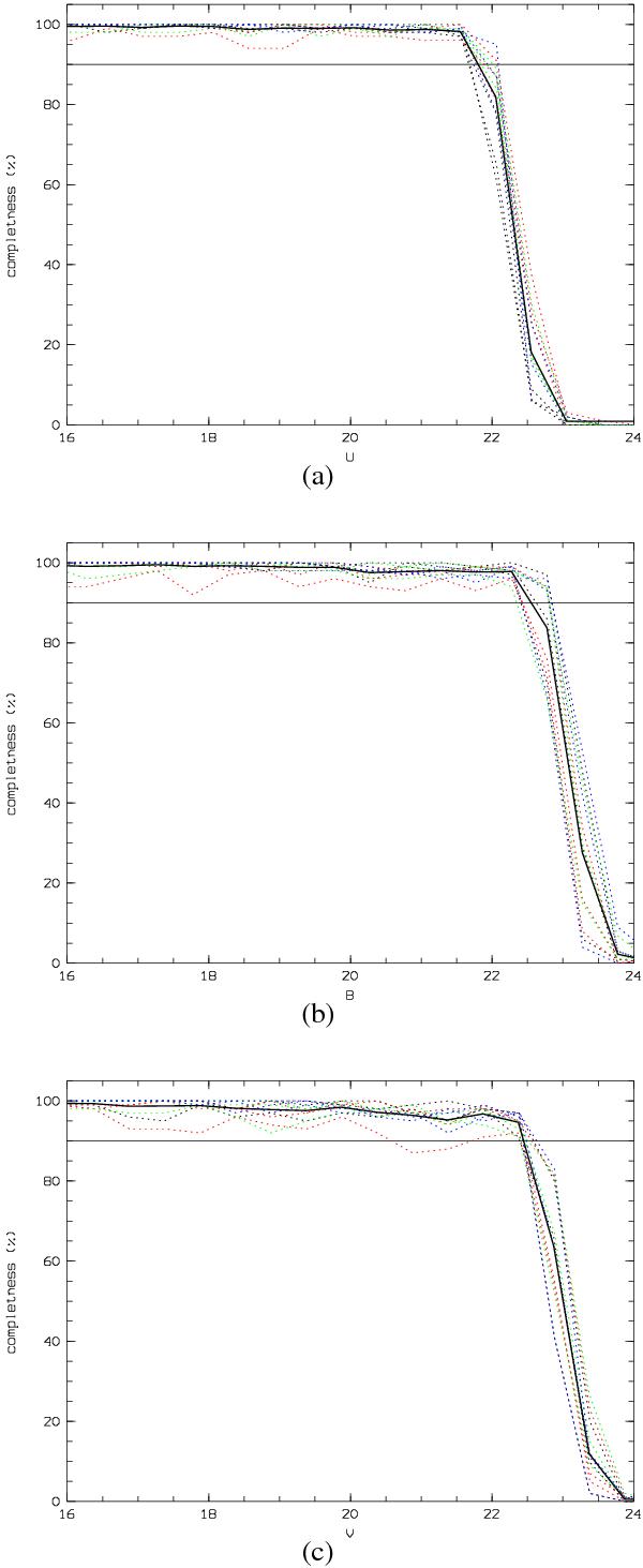
Fig. 2

U a), Bb), and Vc) completeness level in individual CCDs (each dotted curve corresponds to a CCD quadrant, and the black curve is the average of these dotted curves) for the fields centered respectively at 170;
(NGC 6334, blue), 17
;
(green), and 17
;
(NGC 6357, red).
This figure is made of several images, please see below:
Current usage metrics show cumulative count of Article Views (full-text article views including HTML views, PDF and ePub downloads, according to the available data) and Abstracts Views on Vision4Press platform.
Data correspond to usage on the plateform after 2015. The current usage metrics is available 48-96 hours after online publication and is updated daily on week days.
Initial download of the metrics may take a while.