Free Access
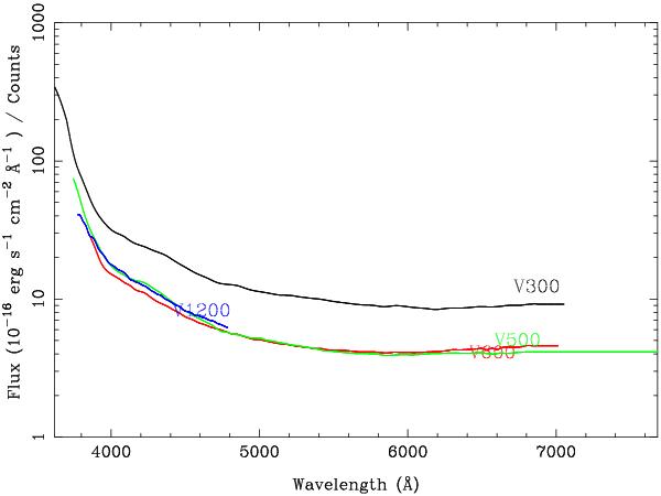
Fig. 5

Flux density-to-counts ratio for the gratings used in the CALIFA survey, derived for the most transparent night of those observed so far, as compared to the most frequently used gratings for PMAS (V300 and V600).
Current usage metrics show cumulative count of Article Views (full-text article views including HTML views, PDF and ePub downloads, according to the available data) and Abstracts Views on Vision4Press platform.
Data correspond to usage on the plateform after 2015. The current usage metrics is available 48-96 hours after online publication and is updated daily on week days.
Initial download of the metrics may take a while.