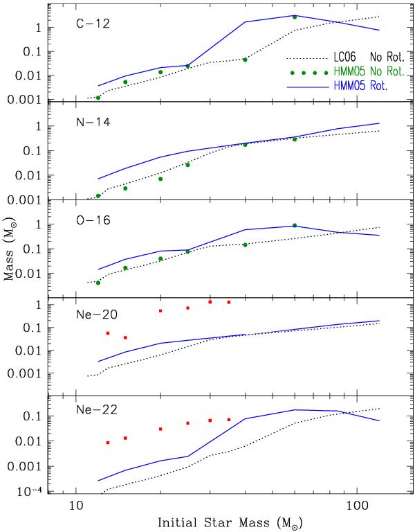
Fig. 3

Total masses of selected isotopes in the winds of the massive stars from the two sets of models adopted in this work. Solid curves are yields from HMM05 (with rotation) and dotted curves from LC06 (no rotation), in both cases interpolated between model results. The points correspond to results of the HMM05 models with no rotation and, in general, agree well with LC06 results except for the 60 M⊙ star.
Current usage metrics show cumulative count of Article Views (full-text article views including HTML views, PDF and ePub downloads, according to the available data) and Abstracts Views on Vision4Press platform.
Data correspond to usage on the plateform after 2015. The current usage metrics is available 48-96 hours after online publication and is updated daily on week days.
Initial download of the metrics may take a while.