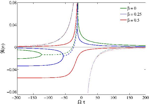
Fig. 6

Real part of solutions of Eq. (57) for α = 0.1 and ξ = 1 versus τ. Solutions for different values of β are presented (for the solid lines in the Ωτ > 0 region, β increases from top to bottom). Solid lines are for real solutions while dotted and dashed lines show the real part of complex solutions. Only the first periodic exponential root is plotted. In this figure, we take γ = 5/3.
Current usage metrics show cumulative count of Article Views (full-text article views including HTML views, PDF and ePub downloads, according to the available data) and Abstracts Views on Vision4Press platform.
Data correspond to usage on the plateform after 2015. The current usage metrics is available 48-96 hours after online publication and is updated daily on week days.
Initial download of the metrics may take a while.