Free Access

Fig. 2

thumbnail

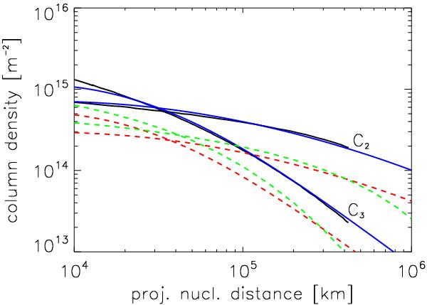
Comparison of the column densities derived for comet Hale-Bopp on Dec. 19/20, 1997, by H05 and this work, computed with the same parameters. Black lines: column densities of C3 and C2 taken from H05. Dashed red lines: column densities computed by the model of this work. Blue lines: column densities of this work, scaled to match the profiles of H05. The dashed green lines show the Haser profiles of C2 and C3 according to Rauer et al. (2003).

Current usage metrics show cumulative count of Article Views (full-text article views including HTML views, PDF and ePub downloads, according to the available data) and Abstracts Views on Vision4Press platform.

Data correspond to usage on the plateform after 2015. The current usage metrics is available 48-96 hours after online publication and is updated daily on week days.

Initial download of the metrics may take a while.