Free Access

Fig. 9

thumbnail

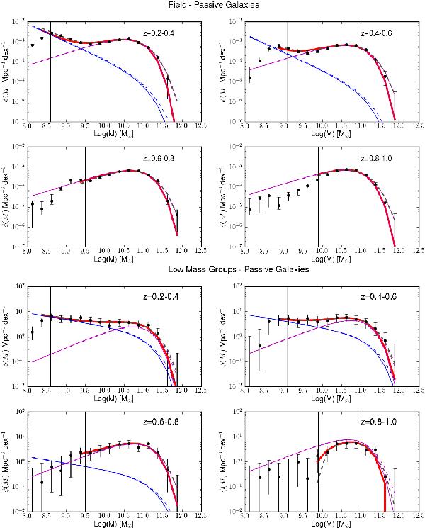
Upper panel: Schechter function fit to the GSMF for passive galaxies in the field. The dashed line marks the convolved Schechter function, the solid one the “true” Schechter function. The magenta and blue lines represents the two components of the double Schechter function (in red). The solid vertical line marks the completeness stellar mass. Lower panel: the same as for the upper panel but for low-mass groups.

This figure is made of several images, please see below:

Current usage metrics show cumulative count of Article Views (full-text article views including HTML views, PDF and ePub downloads, according to the available data) and Abstracts Views on Vision4Press platform.

Data correspond to usage on the plateform after 2015. The current usage metrics is available 48-96 hours after online publication and is updated daily on week days.

Initial download of the metrics may take a while.