Free Access

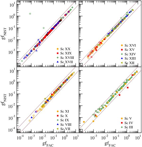
Fig. 4

thumbnail

Scandium weighted oscillator strengths gf for the 677 transitions in the NIST database as a function of our calculated values. Filled and open symbols refer, respectively, to transitions that are observed, or not observed and predicted from two observed levels. NIST has no oscillator strength for Sc xxi and Sc vi. The two grey lines delineate the values gfNIST/gfFAC = 2 or 1/2.

Current usage metrics show cumulative count of Article Views (full-text article views including HTML views, PDF and ePub downloads, according to the available data) and Abstracts Views on Vision4Press platform.

Data correspond to usage on the plateform after 2015. The current usage metrics is available 48-96 hours after online publication and is updated daily on week days.

Initial download of the metrics may take a while.