Free Access

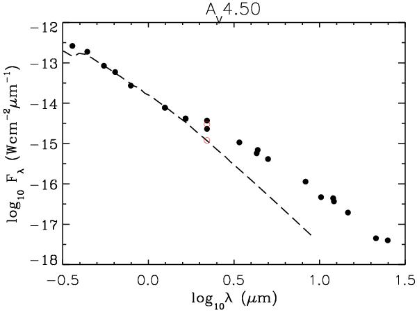
Fig. 5

thumbnail

The de-reddened SED of HD 327083. The dashed line marks the model SED of the proposed binary system, scaled to fit the visible SED. The model SEDs are taken from Castelli & Kurucz (2004).

Current usage metrics show cumulative count of Article Views (full-text article views including HTML views, PDF and ePub downloads, according to the available data) and Abstracts Views on Vision4Press platform.

Data correspond to usage on the plateform after 2015. The current usage metrics is available 48-96 hours after online publication and is updated daily on week days.

Initial download of the metrics may take a while.