Free Access

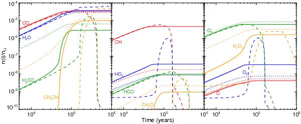
Fig. 7

thumbnail

Abundance of species in interstellar grain mantles as a function of time for the reference model (solid lines), the bulk approach model (Sect. 4.2; dashed lines), and the porous grain model (Sect. 4.3; dotted lines). Left panel: the most abundant stable species. Middle panel: reactive species. Right panel: less abundant stable species.

Current usage metrics show cumulative count of Article Views (full-text article views including HTML views, PDF and ePub downloads, according to the available data) and Abstracts Views on Vision4Press platform.

Data correspond to usage on the plateform after 2015. The current usage metrics is available 48-96 hours after online publication and is updated daily on week days.

Initial download of the metrics may take a while.