Free Access
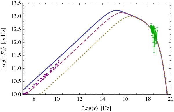
Fig. 10

Synchrotron emission calculated by assuming constant downstream magnetic field equal to 100 (dotted line), 200 (dashed line), and 300 μG (solid line). The normalization of the electron spectrum is taken to be Kep = 1.6 × 10-3 for all the curves.
Current usage metrics show cumulative count of Article Views (full-text article views including HTML views, PDF and ePub downloads, according to the available data) and Abstracts Views on Vision4Press platform.
Data correspond to usage on the plateform after 2015. The current usage metrics is available 48-96 hours after online publication and is updated daily on week days.
Initial download of the metrics may take a while.