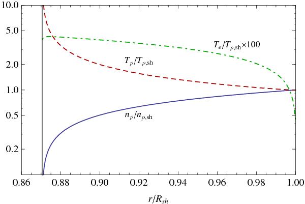
Fig. 3

Density (solid line) and temperature (dashed line) of the shocked ISM in the region between the CD (vertical solid line) and the FS, computed at the present age of the remnant, t = 439 yr, and normalized to the values immediately behind the shock. The dot-dashed line shows the electron temperature computed including the heating due to Coulomb collisions.
Current usage metrics show cumulative count of Article Views (full-text article views including HTML views, PDF and ePub downloads, according to the available data) and Abstracts Views on Vision4Press platform.
Data correspond to usage on the plateform after 2015. The current usage metrics is available 48-96 hours after online publication and is updated daily on week days.
Initial download of the metrics may take a while.