Free Access
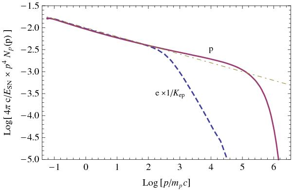
Fig. 4

Total spectrum of protons and electrons (divided by Kep) at the present age of the remnant, as a function of the particle momentum. For comparison, the dot-dashed line shows a power-law ∝ p-4.2 which emphasizes a small flattening of the proton spectrum at the highest momenta.
Current usage metrics show cumulative count of Article Views (full-text article views including HTML views, PDF and ePub downloads, according to the available data) and Abstracts Views on Vision4Press platform.
Data correspond to usage on the plateform after 2015. The current usage metrics is available 48-96 hours after online publication and is updated daily on week days.
Initial download of the metrics may take a while.