Free Access
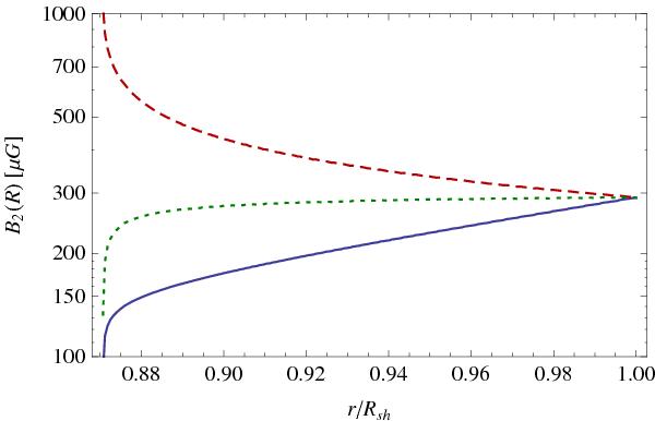
Fig. 5

Radial profile of the magnetic field in the downstream at the present age of the remnant. The dashed curve shows B2(r/Rsh) as resulting from the amplification and compression at the shock. The dotted curve includes also adiabatic losses, while the solid curve is computed including both adiabatic losses and Landau damping.
Current usage metrics show cumulative count of Article Views (full-text article views including HTML views, PDF and ePub downloads, according to the available data) and Abstracts Views on Vision4Press platform.
Data correspond to usage on the plateform after 2015. The current usage metrics is available 48-96 hours after online publication and is updated daily on week days.
Initial download of the metrics may take a while.