Free Access

Fig. 4

thumbnail

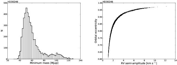
Left: minimum mass distribution for HD 30246 obtained from 5000 Monte Carlo simulations. The bimodal behaviour is clearly seen and allows for stellar-mass solutions. Right: correlation between orbital eccentricity and RV semi-amplitude from the same Monte Carlo simulations, showing that high-mass solutions correspond to very eccentric orbits.

Current usage metrics show cumulative count of Article Views (full-text article views including HTML views, PDF and ePub downloads, according to the available data) and Abstracts Views on Vision4Press platform.

Data correspond to usage on the plateform after 2015. The current usage metrics is available 48-96 hours after online publication and is updated daily on week days.

Initial download of the metrics may take a while.