Free Access

Fig. 1

thumbnail

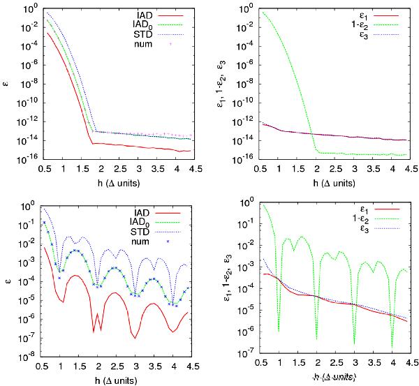
Relative error ϵ in the first derivative of density ρ(x) = (1 + x) g cm-3 as a function of the smoothing length (in interparticle units) calculated using both tensor and standard SPH schemes. Crosses are for direct derivative estimation. Upper left is for the error when the Gaussian kernel is used. The upper right picture shows the contribution of several error sources to the total error ϵ. Bottom pictures are the same but for the cubic-spline kernel.

Current usage metrics show cumulative count of Article Views (full-text article views including HTML views, PDF and ePub downloads, according to the available data) and Abstracts Views on Vision4Press platform.

Data correspond to usage on the plateform after 2015. The current usage metrics is available 48-96 hours after online publication and is updated daily on week days.

Initial download of the metrics may take a while.