Free Access

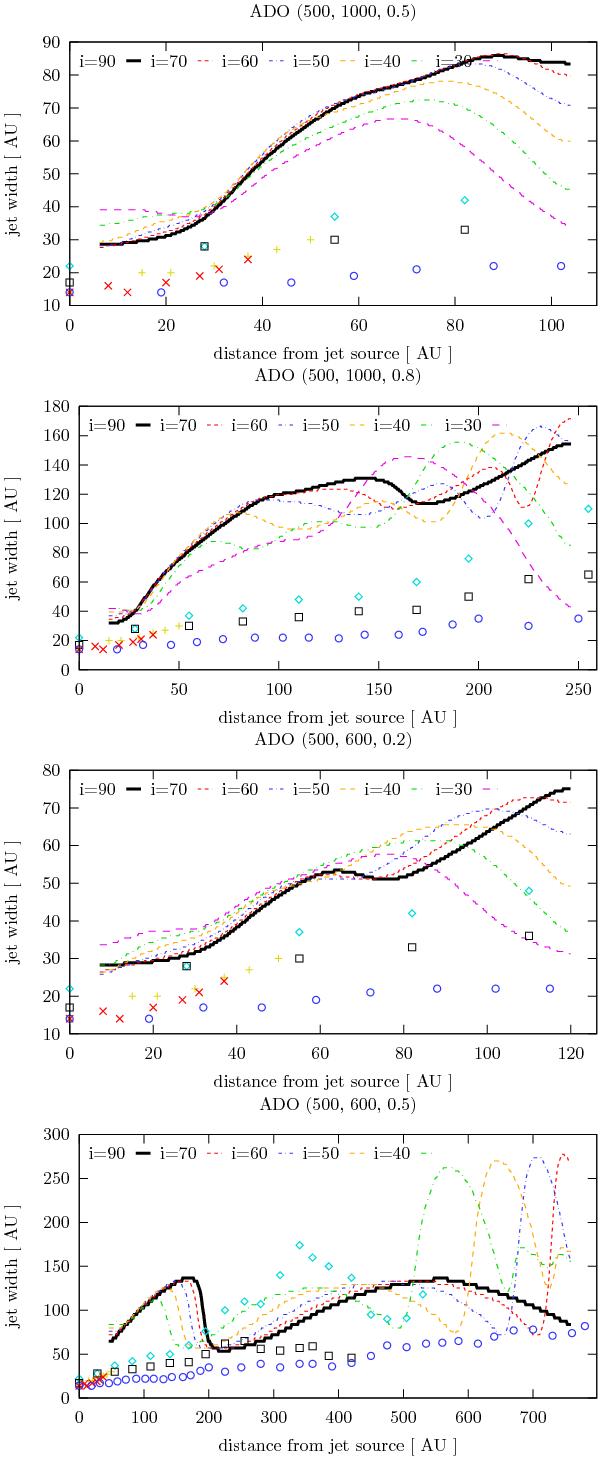
Fig. A.1

thumbnail

Jet widths in AU derived from synthetic [OI] images as a function of distance from the source in model ADO and for runs (500, 600, 0.2), (500, 600, 0.5), (500, 1000, 0.5), (500, 1000, 0.8). Overlaid are the data points of Fig. 1.

Current usage metrics show cumulative count of Article Views (full-text article views including HTML views, PDF and ePub downloads, according to the available data) and Abstracts Views on Vision4Press platform.

Data correspond to usage on the plateform after 2015. The current usage metrics is available 48-96 hours after online publication and is updated daily on week days.

Initial download of the metrics may take a while.