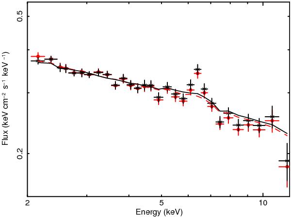
Fig. B.3

Comparison between the average spectra after having corrected for the detector response using: the best fit (average observed spectrum represented by full circles, simulated spectrum by a dashed line) and with the powerlaw with Γ = 2 (average observed spectrum represented by stars, simulated spectrum by a contiuous line). Sample with the sources with more than 200 net counts.
Current usage metrics show cumulative count of Article Views (full-text article views including HTML views, PDF and ePub downloads, according to the available data) and Abstracts Views on Vision4Press platform.
Data correspond to usage on the plateform after 2015. The current usage metrics is available 48-96 hours after online publication and is updated daily on week days.
Initial download of the metrics may take a while.