Free Access

Fig. 4

thumbnail

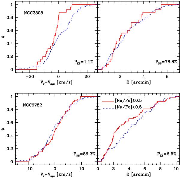
Comparison of cumulative distributions for Na-rich (red continuous line) and Na-poor (blue dotted line) for NGC 2808 (upper panels) and NGC 6752 (lower panels). Left panels: distributions of the radial velocity in the cluster system. Right panels: distributions of the distances from the cluster center. The probability that the Na-rich and Na-poor populations are drawn from the same parent population, according to a Kolmogorov-Smirnov test, is reported in the lower right corner of each panel. The adopted threshold between Na-poor and Na-rich stars is [Na/Fe] = 0.5.

Current usage metrics show cumulative count of Article Views (full-text article views including HTML views, PDF and ePub downloads, according to the available data) and Abstracts Views on Vision4Press platform.

Data correspond to usage on the plateform after 2015. The current usage metrics is available 48-96 hours after online publication and is updated daily on week days.

Initial download of the metrics may take a while.