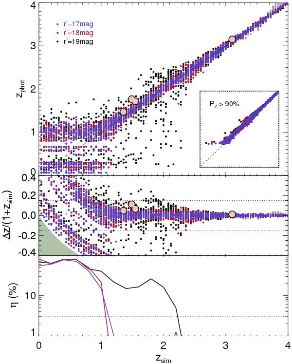
Fig. 5

Recovered best-fit photometric vs. input redshift (top), accuracy (middle), and outlier fraction (bottom) for 27 000 simulated sources with spectral slope of 0.05 ≤ β ≤ 2 and optical brightness of r′ = 17−19 mag. The pink circles indicate the location of three blazars in our sample with known redshift, PKS 0332-403 (zspec = 1.351, Bergeron et al. 2011), OM 235 (zspec = 1.549), and CRATES J1312-2156 (zspec = 1.491, Ackermann et al. 2012), as well as that of PKS 0537-286 (zspec = 3.104, Wright et al. 1978), a LAT-non-detected blazar with available GROND and UVOT photometry. The green area in the middle panel corresponds to the forbidden parameter space where zphot > 0. Systematics are visible at zphot < 0.8. The large majority of the fits have χ2 < 30 (for typically 10 d.o.f.) with the exceptions shown in light grey. The inset in the top panel displays the results if only solutions with Pz > 90% are selected.
Current usage metrics show cumulative count of Article Views (full-text article views including HTML views, PDF and ePub downloads, according to the available data) and Abstracts Views on Vision4Press platform.
Data correspond to usage on the plateform after 2015. The current usage metrics is available 48-96 hours after online publication and is updated daily on week days.
Initial download of the metrics may take a while.