Free Access
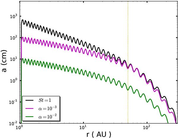
Fig. 4

Particle size corresponding to a Stokes number of unity for A = 0.3 and f = 1.0 and location of the fragmentation barrier for two different values of the turbulent parameter α. The dashed line corresponds to r = 50 AU to distinguish the maximum size particle in the outer regions of the disk for each case.
Current usage metrics show cumulative count of Article Views (full-text article views including HTML views, PDF and ePub downloads, according to the available data) and Abstracts Views on Vision4Press platform.
Data correspond to usage on the plateform after 2015. The current usage metrics is available 48-96 hours after online publication and is updated daily on week days.
Initial download of the metrics may take a while.