Free Access

Fig. 12

thumbnail

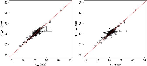
Individual parallaxes of Hyades members derived in this work compared to the secular parallaxes of de Bruijne et al. (2001) derived using proper motion data from the Hipparcos (left panel) and tycho2 (right panel) catalogs. The red line represents the expected distribution for equal results. The rms with respect to the Hipparcos secular parallaxes is 1.55 mas and 1.68 mas for tycho2 secular parallaxes, and the mean difference between the parallaxes is 0.23 mas and –0.27 mas.

This figure is made of several images, please see below:

Current usage metrics show cumulative count of Article Views (full-text article views including HTML views, PDF and ePub downloads, according to the available data) and Abstracts Views on Vision4Press platform.

Data correspond to usage on the plateform after 2015. The current usage metrics is available 48-96 hours after online publication and is updated daily on week days.

Initial download of the metrics may take a while.