Highlight
Free Access

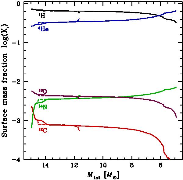
Fig. 4

thumbnail

Logarithm of the mass fraction of 1H, 4He, 12C, 14N, and 16O at the surface as a function of the actual mass of the star, for the model 15Std (dashed line) and 15 × 10 (solid line).

Current usage metrics show cumulative count of Article Views (full-text article views including HTML views, PDF and ePub downloads, according to the available data) and Abstracts Views on Vision4Press platform.

Data correspond to usage on the plateform after 2015. The current usage metrics is available 48-96 hours after online publication and is updated daily on week days.

Initial download of the metrics may take a while.