Free Access

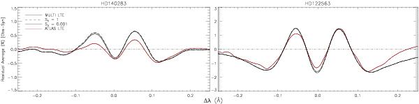
Fig. 3

thumbnail

Plots of average residuals from χ2 analysis of Fe lines in HD 140283 and HD 122563, for SH = 1, 0.001 and LTE using MULTI. For comparison we have generated the same plot using ATLAS output data for the same subsets of lines.

Current usage metrics show cumulative count of Article Views (full-text article views including HTML views, PDF and ePub downloads, according to the available data) and Abstracts Views on Vision4Press platform.

Data correspond to usage on the plateform after 2015. The current usage metrics is available 48-96 hours after online publication and is updated daily on week days.

Initial download of the metrics may take a while.