Free Access
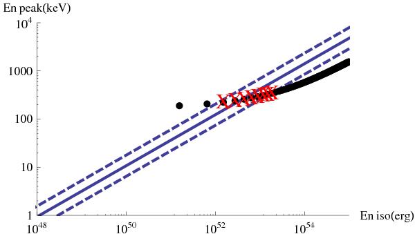
Fig. 7

Plot of the relation between Ep,i and Eiso for the second episode of GRB 101023, considering different values of the redshift. It can be seen that the plot lies within 1σ for the range z = 0.3 − z = 1.0.
Current usage metrics show cumulative count of Article Views (full-text article views including HTML views, PDF and ePub downloads, according to the available data) and Abstracts Views on Vision4Press platform.
Data correspond to usage on the plateform after 2015. The current usage metrics is available 48-96 hours after online publication and is updated daily on week days.
Initial download of the metrics may take a while.