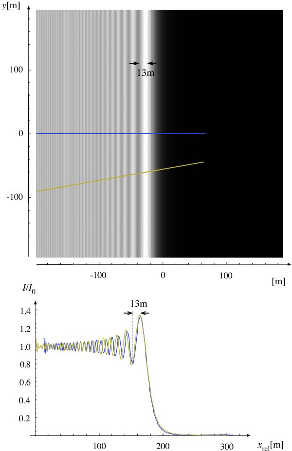
Fig. 3

2D diffraction pattern of a perfectly straight edge for
λ = 2.2 μm on the surface of the Earth
(top) as a function of the coordinate (x,y) on the
ground, and two light curves (bottom) scanned perpendicular to the
fringe pattern with local limb slopes of 0° (blue line) and of about 10° (yellow
line). The light curves display different fringe spacing depending on the angle of the
scan. Note that the diffraction pattern scales
with .
Current usage metrics show cumulative count of Article Views (full-text article views including HTML views, PDF and ePub downloads, according to the available data) and Abstracts Views on Vision4Press platform.
Data correspond to usage on the plateform after 2015. The current usage metrics is available 48-96 hours after online publication and is updated daily on week days.
Initial download of the metrics may take a while.