Free Access

Fig. 5

thumbnail

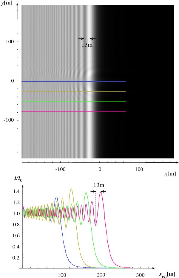
Same as Fig. 4, for a smaller limb irregularity of about 1.5  ×  12.5 m (see Fig. 2). An irregularity of this size and shape perturbs the ideal fringe pattern by adding a faint ring structure to it so that the light curves display different fringe amplitudes depending on the exact location of the scan.

Current usage metrics show cumulative count of Article Views (full-text article views including HTML views, PDF and ePub downloads, according to the available data) and Abstracts Views on Vision4Press platform.

Data correspond to usage on the plateform after 2015. The current usage metrics is available 48-96 hours after online publication and is updated daily on week days.

Initial download of the metrics may take a while.