Free Access

Fig. 1

thumbnail

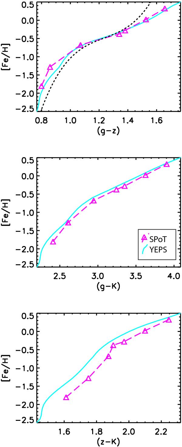
14   Gyr SPoT and YEPS (g − z), (g − K) and (z − K) colour–metallicity relations according to the legend in the middle panel. The black short-dashed-line in the first panel corresponds to the empirical relation to the Peng et al. (2006) data for Milky Way and Virgo Cluster GCs (Blakeslee et al. 2010).

Current usage metrics show cumulative count of Article Views (full-text article views including HTML views, PDF and ePub downloads, according to the available data) and Abstracts Views on Vision4Press platform.

Data correspond to usage on the plateform after 2015. The current usage metrics is available 48-96 hours after online publication and is updated daily on week days.

Initial download of the metrics may take a while.