Free Access

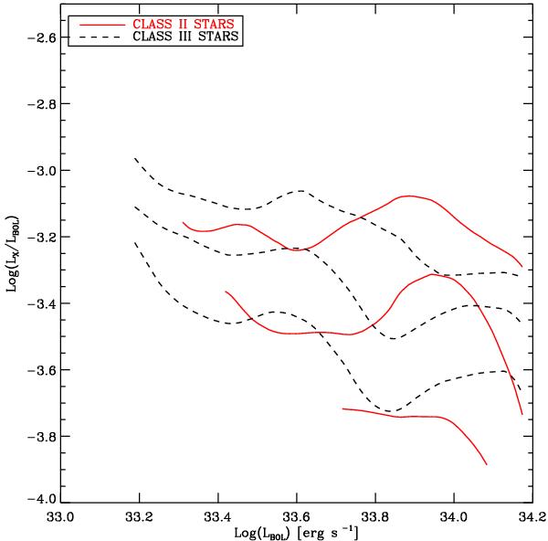
Fig. 7

thumbnail

LX/LBOL distribution as a function of LBOL. The three couples of lines refer to the (25%, 50%, 75%) quartiles of the LX/LBOL distributions calculated in running intervals of constituted by 80 contiguous points and smoothed in interval of bolometric luminosity of 0.1 erg s-1. The continuous line refer to Class II stars, and the dashed one to the Class III stars.

Current usage metrics show cumulative count of Article Views (full-text article views including HTML views, PDF and ePub downloads, according to the available data) and Abstracts Views on Vision4Press platform.

Data correspond to usage on the plateform after 2015. The current usage metrics is available 48-96 hours after online publication and is updated daily on week days.

Initial download of the metrics may take a while.