Open Access

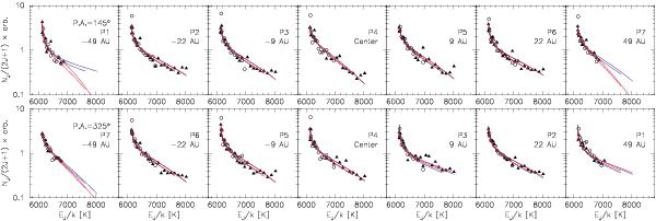
Fig. 2

thumbnail

Population diagrams of CO v = 2–1 based on the spectra extracted at the incremental distances from the central star. The upper and the lower panels are from the spectra recorded with the slit PA = 145° and 325°. Open circles and filled triangles are for R- and P-branches, respectively. The column densities divided by the statistical weights are vertically shifted by arbitrarily amount for the presentation. The uncertainty of the individual column density is on the order of the dispersions of the data points. The red lines are the best-fit LTE model population diagrams assuming Gaussian line width of 6 km s-1. The blue lines are the same but the column density of CO is fixed to NCO = 1020 cm-2.

Current usage metrics show cumulative count of Article Views (full-text article views including HTML views, PDF and ePub downloads, according to the available data) and Abstracts Views on Vision4Press platform.

Data correspond to usage on the plateform after 2015. The current usage metrics is available 48-96 hours after online publication and is updated daily on week days.

Initial download of the metrics may take a while.