Free Access

Fig. 2

thumbnail

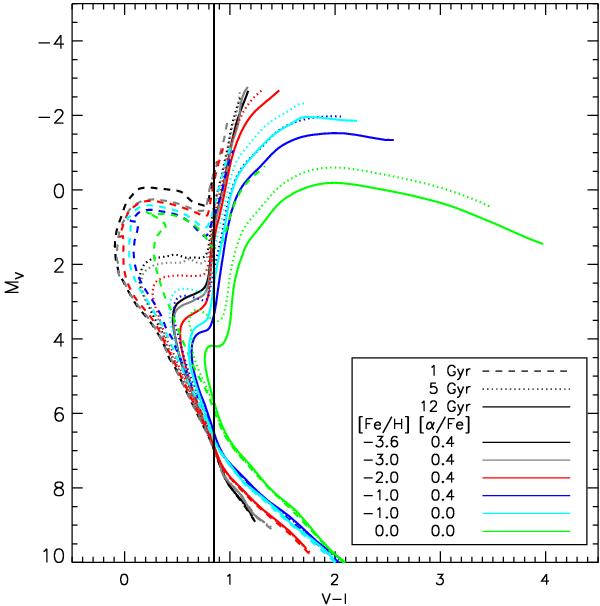
Color − magnitude diagram using Yonsei-Yale isochrones for 1 Gyr (dashed lines), 5 Gyr (dotted lines), and 12 Gyr (full lines), and metallicities [Fe/H]  =  −3.6 (lowest value possible within the Yonsei-Yale set in black), [Fe/H]  =  −3.0 (gray), [Fe/H]  =  −2.0 (red), [Fe/H]  =  −1.0 (blue), [Fe/H]  = 0.0 (green). [α/Fe] is set to +0.4 for all isochrones except for [Fe/H]  = 0.0, which have [α/Fe]  = 0.0 and an extra set of isochrones plotted for [Fe/H]  =  −1 and [α/Fe]  = 0.0 (cyan). The vertical line roughly indicates the onset of the RGB.

Current usage metrics show cumulative count of Article Views (full-text article views including HTML views, PDF and ePub downloads, according to the available data) and Abstracts Views on Vision4Press platform.

Data correspond to usage on the plateform after 2015. The current usage metrics is available 48-96 hours after online publication and is updated daily on week days.

Initial download of the metrics may take a while.