Free Access

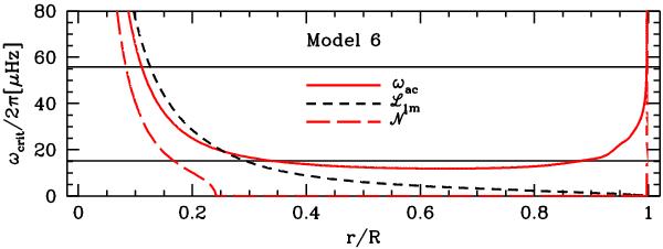
Fig. 3

thumbnail

Critical frequencies in Model 6. The two horizontal lines correspond to dipolar mode frequencies. The lower one to p1,1 and the upper to p9,1, whose frequency is near νmax.

Current usage metrics show cumulative count of Article Views (full-text article views including HTML views, PDF and ePub downloads, according to the available data) and Abstracts Views on Vision4Press platform.

Data correspond to usage on the plateform after 2015. The current usage metrics is available 48-96 hours after online publication and is updated daily on week days.

Initial download of the metrics may take a while.