Free Access

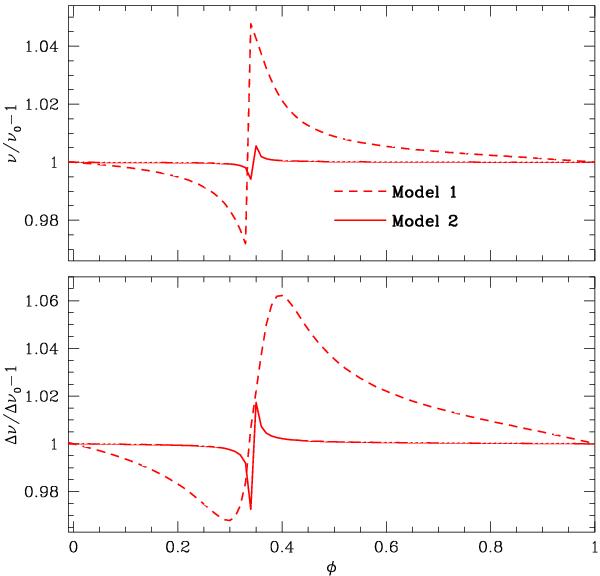
Fig. 4

thumbnail

Dependence of radial mode frequencies, ν, on the parameter φ adopted in Eq. (29). The pairs of frequencies around νmax in Models 1 and 2 are considered. Plotted are the shifts relative to the values at φ = 0. The top panel shows the shift in the lower frequency. The bottom panel shows the shift in the frequency difference.

Current usage metrics show cumulative count of Article Views (full-text article views including HTML views, PDF and ePub downloads, according to the available data) and Abstracts Views on Vision4Press platform.

Data correspond to usage on the plateform after 2015. The current usage metrics is available 48-96 hours after online publication and is updated daily on week days.

Initial download of the metrics may take a while.