Free Access

Fig. 2

thumbnail

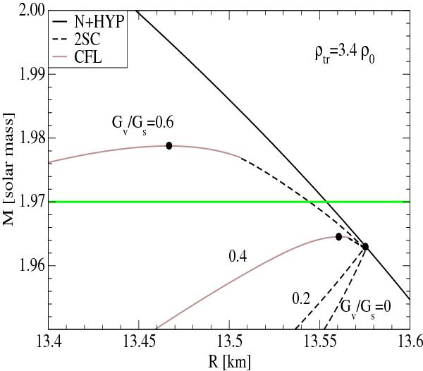
Mass vs. radius for configurations with quark-hadron transition density ρtr = 3.4ρ0 for four values of vector coupling GV/GS = 0,0.2,0.4,0.6. The purely hadronic sequence (i.e. the sequence that includes nucleons and hyperons) is shown by black solid line. The dashed lines and the gray solid lines show the branches where the 2SC and CFL quark phases are present. The filled circles mark the maximum masses of the sequences. The horizontal line shows the largest mass measurement to date (Demorest et al. 2010).

Current usage metrics show cumulative count of Article Views (full-text article views including HTML views, PDF and ePub downloads, according to the available data) and Abstracts Views on Vision4Press platform.

Data correspond to usage on the plateform after 2015. The current usage metrics is available 48-96 hours after online publication and is updated daily on week days.

Initial download of the metrics may take a while.