Free Access

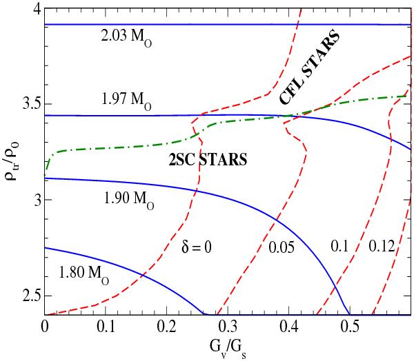
Fig. 3

thumbnail

Properties of the stars as a function of the free parameters GV and ρtr. The solid lines (blue online) show the maximum mass configurations realized for the pair of parameters GV and ρtr. The dashed (red online) curves show the amount of CFL matter in the configurations via the ratio δ = RCFL/R, where RCFL is the radius of the CFL core, R is the star radius. The parameter space to the right from δ = 0 line produces CFL stars. The parameter space below the dashed-dotted (green online) curve corresponds to stars containing 2SC matter.

Current usage metrics show cumulative count of Article Views (full-text article views including HTML views, PDF and ePub downloads, according to the available data) and Abstracts Views on Vision4Press platform.

Data correspond to usage on the plateform after 2015. The current usage metrics is available 48-96 hours after online publication and is updated daily on week days.

Initial download of the metrics may take a while.