Free Access

Fig. 4

thumbnail

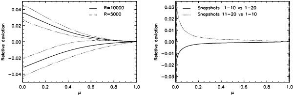
Left: relative deviation of the spline-interpolated limb darkening predictions computed for a single snapshot of the 3D model for HD 189733 with reduced wavelength sampling of R = 10   000 (solid lines) and R = 5000 (dotted lines) from the full sampling with R = 20   000. Each set of resampled wavelengths is shown in either case, resulting in two or four choices, respectively. Right: relative deviation of the spline-interpolated limb darkening predictions computed for the first 10 snapshots of a time sequence with Nt = 20 (solid line) and deviation of the predictions computed for the first and last 10 snapshots of the same sequence (dotted line). All calculations are based on the 3D model of HD 189733.

This figure is made of several images, please see below:

Current usage metrics show cumulative count of Article Views (full-text article views including HTML views, PDF and ePub downloads, according to the available data) and Abstracts Views on Vision4Press platform.

Data correspond to usage on the plateform after 2015. The current usage metrics is available 48-96 hours after online publication and is updated daily on week days.

Initial download of the metrics may take a while.