Free Access

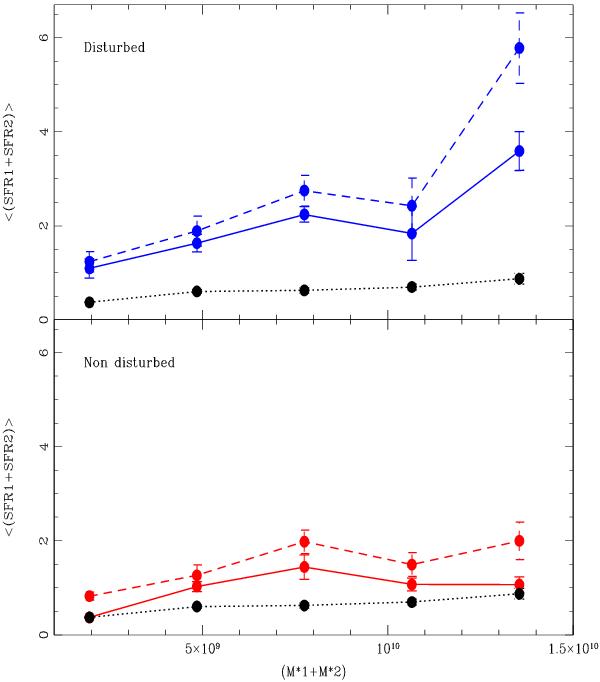
Fig. 13

thumbnail

Total star formation rate  ⟨ SFR1 + SFR2 ⟩  as a function of total stellar mass for major (dashed) and minor (solid) interactions classified as disturbed (M and T) and non-disturbed (N) (upper and lower panels, respectively). Dotted lines represent the control sample within uncertainties derived through the bootstrap re-sampling technique.

Current usage metrics show cumulative count of Article Views (full-text article views including HTML views, PDF and ePub downloads, according to the available data) and Abstracts Views on Vision4Press platform.

Data correspond to usage on the plateform after 2015. The current usage metrics is available 48-96 hours after online publication and is updated daily on week days.

Initial download of the metrics may take a while.