Free Access

Fig. 2

thumbnail

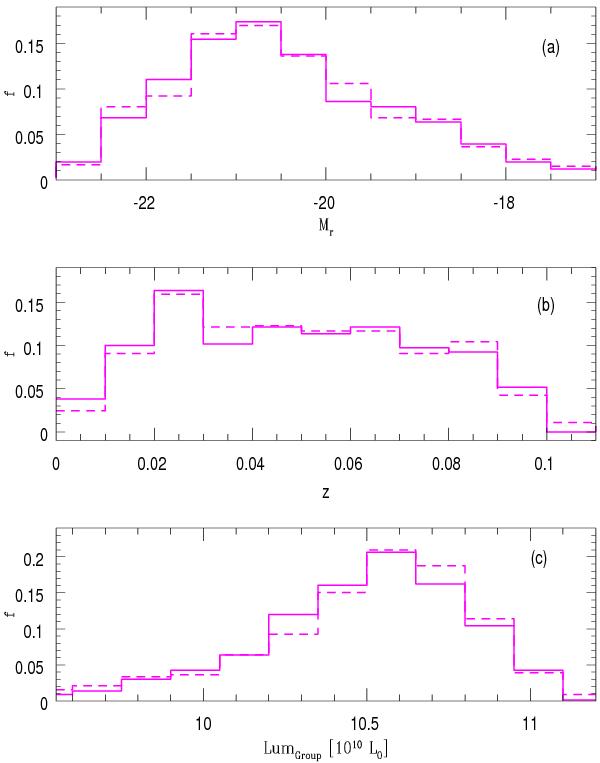
Upper and medium panels a) and b) show the distributions of Mr and z in pair galaxies (solid lines) and in the control sample (dashed lines). The lower panel c) shows the group luminosity distribution for pair and control galaxies (solid and dashed lines, respectively).

Current usage metrics show cumulative count of Article Views (full-text article views including HTML views, PDF and ePub downloads, according to the available data) and Abstracts Views on Vision4Press platform.

Data correspond to usage on the plateform after 2015. The current usage metrics is available 48-96 hours after online publication and is updated daily on week days.

Initial download of the metrics may take a while.