Free Access

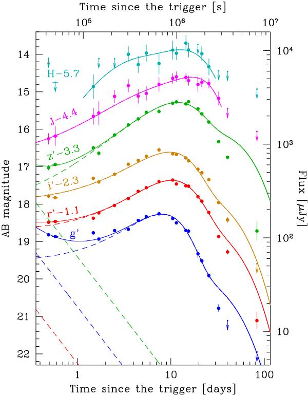
Fig. 5

thumbnail

Multi-colour light curves corrected for host-galaxy extinction and afterglow-subtracted. Filled circles represent detections and arrows are upper limits. Solid lines represent the overall fits and dashed lines individual components. Fits of SN 1998bw templates are extrapolated from  ≈ t0 + 60 d. For reasons of clarity, light curves were shifted along the magnitude axis and the systematical error in AV,host was not added to the error bars.

Current usage metrics show cumulative count of Article Views (full-text article views including HTML views, PDF and ePub downloads, according to the available data) and Abstracts Views on Vision4Press platform.

Data correspond to usage on the plateform after 2015. The current usage metrics is available 48-96 hours after online publication and is updated daily on week days.

Initial download of the metrics may take a while.