Free Access

Fig. 2

thumbnail

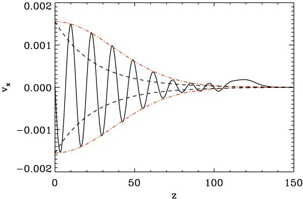
Transverse velocity component vx as a function of height at the loop axis. The dot-dashed (red) line represents a Gaussian envelope of the form given in Eq. (5). The dashed line is the exponential decay given by Eqs. (2) and (3).

Current usage metrics show cumulative count of Article Views (full-text article views including HTML views, PDF and ePub downloads, according to the available data) and Abstracts Views on Vision4Press platform.

Data correspond to usage on the plateform after 2015. The current usage metrics is available 48-96 hours after online publication and is updated daily on week days.

Initial download of the metrics may take a while.