Free Access

Fig. B.1

thumbnail

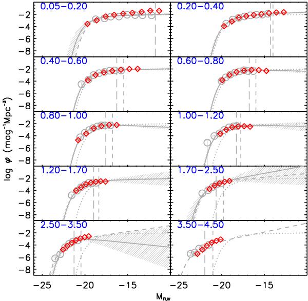
Rest-frame FUV 1 / Vmax LF estimates from z = 0.05 to z = 4.5 derived with the VVDS zphot catalogue up to IAB = 26 (red open diamonds). They are plotted over a grey-scale version of Fig. 1, that is the rest-frame FUV LF of the VVDS Deep+Ultra-Deep spectroscopic sample up to IAB = 24.75.

Current usage metrics show cumulative count of Article Views (full-text article views including HTML views, PDF and ePub downloads, according to the available data) and Abstracts Views on Vision4Press platform.

Data correspond to usage on the plateform after 2015. The current usage metrics is available 48-96 hours after online publication and is updated daily on week days.

Initial download of the metrics may take a while.