Free Access

Fig. C.1

thumbnail

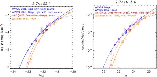
Left panel. Comoving luminosity densities as a function of FUV (1700 Å) absolute luminosities at 2.7 ≤ z ≤ 3.4: 1 / Vmax estimates of our VVDS Deep+Ultra-Deep sample fitted with a Schechter function (red circles and dashed curve, respectively); our mST = (r + i) / 2 number counts per volume density for the Deep and Ultra-Deep surveys converted into FUV absolute magnitudes with a rigid shift (see text), and fitted with a Schechter function (blue diamonds and triangles, and solid line, respectively); the mST = ℛ number counts per volume density of Steidel et al. (1999) converted into FUV absolute magnitudes with their rigid shift (see text), and fitted with a Schechter function by them (orange squares and solid line, respectively). Right panel. Number counts per unit volume of galaxies as a function of mST apparent magnitudes at 2.7 ≤ z ≤ 3.4: our number counts from the VVDS Deep and Ultra-Deep surveys (blue diamonds and triangles, respectively); our VVDS number counts derived from our VVDS 1 / Vmax LF (see right panel) shifted rigidly in magnitude (red circles, see text); number counts from Steidel et al. (1999) (orange squares; see text for conversion details). The three curves correspond to the same curves in the left panel, shifted rigidly (see text). Note that the CFHTLS (r + i) / 2 photometric system mimics the ℛ one used by Steidel et al. (1999).

This figure is made of several images, please see below:

Current usage metrics show cumulative count of Article Views (full-text article views including HTML views, PDF and ePub downloads, according to the available data) and Abstracts Views on Vision4Press platform.

Data correspond to usage on the plateform after 2015. The current usage metrics is available 48-96 hours after online publication and is updated daily on week days.

Initial download of the metrics may take a while.