Free Access

Fig. C.2

thumbnail

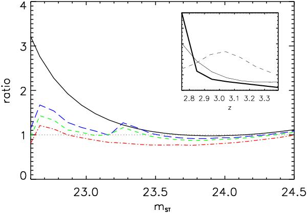
As a function of mST, ratio of the directly observed VVDS FUV number counts at 2.7 ≤ z ≤ 3.4 to the number counts derived in various ways from the FUV luminosity function in the same z range. The black dotted line (ratio = 1) is the ideal case where both counts are identical. The black solid line represents the ratio of the observed VVDS to the VVDS LF derived counts using Eq. (C.1), n(mST,LF) (i.e. blue solid line to the red dashed line of Fig. C.1, right panel). The other lines represent the ratio of the observed VVDS number counts (the above mentioned blue line) to the following various simulated distributions: n(mST,z) (blue long-dash curve), n(mST,z,K,col) (green short-dash curve) and n(mSTM) (red dot-dash curve). See text for details about these simulated distributions. In the inset, we plot the global shape of the redshift distributions in Steidel et al. (1999) (dashed line) and in our work, separately for faint and bright galaxies (thin and thick solid lines, respectively). The normalisation on the y-axis is consistent between the two solid lines, while the normalisation of the dashed line has been arbitrarily chosen to better illustrate the different shapes.

Current usage metrics show cumulative count of Article Views (full-text article views including HTML views, PDF and ePub downloads, according to the available data) and Abstracts Views on Vision4Press platform.

Data correspond to usage on the plateform after 2015. The current usage metrics is available 48-96 hours after online publication and is updated daily on week days.

Initial download of the metrics may take a while.