Free Access

Fig. 14

thumbnail

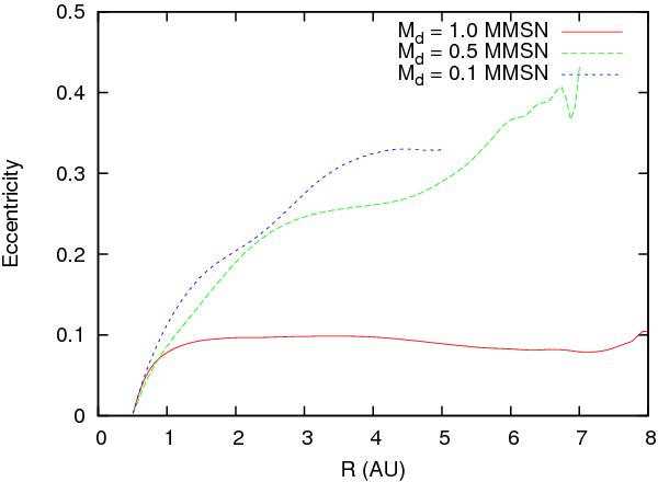
Azimuthally- and time-averaged profiles of the disk’s eccentricity for three different initial surface densities: Σ0 = ΣMMSN (our fiducial value), Σ0 = 0.5ΣMMSN, and Σ0 = 0.1ΣMMSN.

Current usage metrics show cumulative count of Article Views (full-text article views including HTML views, PDF and ePub downloads, according to the available data) and Abstracts Views on Vision4Press platform.

Data correspond to usage on the plateform after 2015. The current usage metrics is available 48-96 hours after online publication and is updated daily on week days.

Initial download of the metrics may take a while.