Free Access

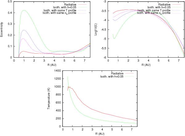
Fig. 6

thumbnail

Time- and azimuthally-averaged disk eccentricity, density and temperature profiles for our radiative disk model and various locally isothermal disk models: (i) one with the same initial aspect ratio as in the radiative model (h = 0.05), (ii) one with the same temperature profile as in the radiative model, and (iii) another with same sound speed profile as in the radiative model.

This figure is made of several images, please see below:

Current usage metrics show cumulative count of Article Views (full-text article views including HTML views, PDF and ePub downloads, according to the available data) and Abstracts Views on Vision4Press platform.

Data correspond to usage on the plateform after 2015. The current usage metrics is available 48-96 hours after online publication and is updated daily on week days.

Initial download of the metrics may take a while.