Free Access

Fig. 13

thumbnail

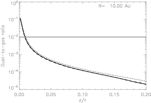
Dust-to-gas ratio at rT = 10 AU for the best-fit model of a T Tauri star (solid line), Herbig star (dotted line) and brown dwarf (dashed line). The gray line denotes a well-mixed model with a dust-to-gas ratio of 0.01. The surface temperature at this location corresponds to roughly 100 K, and therefore emits mainly in the mid-infrared.

Current usage metrics show cumulative count of Article Views (full-text article views including HTML views, PDF and ePub downloads, according to the available data) and Abstracts Views on Vision4Press platform.

Data correspond to usage on the plateform after 2015. The current usage metrics is available 48-96 hours after online publication and is updated daily on week days.

Initial download of the metrics may take a while.