Free Access

Fig. 2

thumbnail

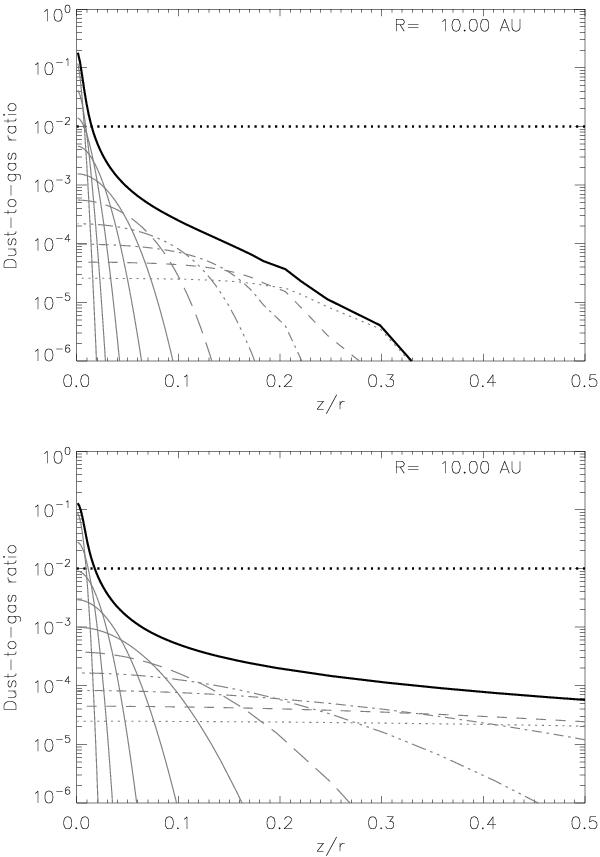
Dust-to-gas ratio versus relative height (z/r) in the mid-infrared emitting region of the T Tauri star at 10 AU using the self-consistent settling (top) and the midplane settling approach (bottom) with the same gas density distribution. The black solid line represents the total dust-to-gas ratio, the gray lines denote the individual contributions of grains of different sizes, from 0.02 micron (dotted) to 6 mm (solid). The dotted line represents a fully mixed disk, with a dust-to-gas ratio of 0.01. The radial τ = 1 surface in the optical is located at a relative height of approximately 0.16 and 0.2.

Current usage metrics show cumulative count of Article Views (full-text article views including HTML views, PDF and ePub downloads, according to the available data) and Abstracts Views on Vision4Press platform.

Data correspond to usage on the plateform after 2015. The current usage metrics is available 48-96 hours after online publication and is updated daily on week days.

Initial download of the metrics may take a while.