Free Access

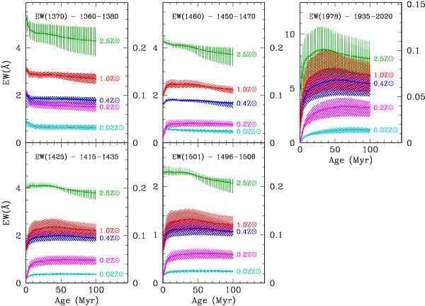
Fig. 1

thumbnail

Variation of the line indices with stellar population age and metallicity. In each plot, the EW is shown in left vertical axis, while the right axis shows the average fractional depth below the continuum. For each feature we draw the models constructed with Starburts99 at five value of metallicity as shown in different colors. For each metallicity, the color regions represent the error due to the dependence on the IMF assumed. In this way we can highlight the dependence of the models and robustness of the indices from the IMF and stellar population age assumed.

Current usage metrics show cumulative count of Article Views (full-text article views including HTML views, PDF and ePub downloads, according to the available data) and Abstracts Views on Vision4Press platform.

Data correspond to usage on the plateform after 2015. The current usage metrics is available 48-96 hours after online publication and is updated daily on week days.

Initial download of the metrics may take a while.